ПРИМЕР:
Решите неравенство с помощью графика:
(х – 6)2 – (5 – х)2 < 3.
РЕШЕНИЕ:
Сначала проведём простейшие преобразования – раскроем скобки полных квадратов и приведём подобные слагаемые:
(х – 6)2 – (5 – х)2 < 3,
Дальше делим обе части неравенства на отрицательное число (–2), при этом надо поменять знак неравенства на противоположный.
х ˃ 8/2,
Неравенство нестрогое, поэтому 4 не включается в промежуток, и решением будут являться все точки, которые находятся правее 4, так как 5 больше 4, 6 больше 4 и так далее.
ОТВЕТ:
х ∈ (4; + ∞)
Графическое решение квадратных неравенств.
Графиком
квадратичной функции
y = ах2 + bx + c
является парабола с
ветвями, направленными вверх, если а ˃ 0,
и вниз, если а < 0. При этом возможны три случая:
1) парабола пересекает ось х (то есть уравнение
ах2 + bx + c = 0
имеет два различных
корня);
2) парабола имеет вершину на оси х (то есть уравнение
ах2 + bx + c = 0
имеет один корень);
3) парабола не пересекает ось х (то есть уравнение
ах2 + bx + c = 0
не имеет корней).
Итого возможны
шесть положений параболы, служащей графиком функции
у = ах2 + bx
+ c
ax2 + bx + c ˃ 0,
где вместо знака ˃ может быть любой другой знак неравенства.
Для решения квадратного неравенства с помощью графика нужно:
– определить направление ветвей параболы по знаку старшего коэффициента квадратичной функции;
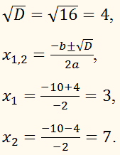
ПРИМЕР:
Решите неравенство графическим способом:
–х2 + 10х –21 < 0.
РЕШЕНИЕ:
Сначала решаем квадратное уравнение:
–х2 + 10х –21 = 0
Затем схематично рисуем параболу, не высчитывая, где у нё находится вершина, ведь по сути это не нужно, у нас есть основное – точки пересечения параболы с осью Ох.
Возвращаемся к неравенству
–х2 + 10х –2 < 0.
и отмечаем нужные нам промежутки:
Запишем теперь ответ.
ОТВЕТ:
х ∈ (–∞; 3) ∪ (7; +∞)
ПРИМЕР:
Решите неравенство графическим способом:
х2 – 2х – 3 ˃ 0.
РЕШЕНИЕ:
Рассмотрим параболу
у = х2 – 2х – 3.
Решить неравенство
х2 – 2х – 3 ˃ 0
это значит ответить на вопрос, при каких значениях х ординаты точек параболы положительны.
ПРИМЕР:
Решите неравенство графическим способом:
х2 – 2х – 3 < 0.
Рассмотрим параболу
у = х2 – 2х – 3.
Неравенство
х2 – 2х – 3 < 0
или у < 0, где
у = х2 – 2х – 3,
также можно решить с помощью графика. График расположен ниже оси х, если
–1 < х < 3.
Поэтому решением данного неравенства служат все точки интервала
ПРИМЕР:
Решите неравенство графическим способом:
х2 – 2х – 3 ≥ 0.
РЕШЕНИЕ:
Рассмотрим параболу
у = х2 – 2х – 3.
Неравенство
х2 – 2х – 3 ≥ 0
отличается от неравенства
х2 – 2х – 3 ˃ 0
тем, что в ответ надо включить и корни уравнения
х2 – 2х – 3 = 0
то есть точки
х1 = –1 и х2 = 3.
Таким образом, решениями данного нестрогого неравенства являются все точки интервалов
ПРИМЕР:
Решите неравенство графическим способом:
х2 – 2х – 3 ≤ 0.
РЕШЕНИЕ:
Рассмотрим параболу
у = х2 – 2х – 3.
х2 – 2х – 3 ≤ 0
Отличается от неравенства
х2 – 2х – 3 < 0
тем, что в ответ надо включить и корни уравнения
х2 – 2х – 3 = 0,
то есть х1 = –1 и х2 = 3,
Следовательно, решениями данного нестрогого неравенства служат все точки отрезка
ПРИМЕР:
Решите неравенство графическим способом:
х2 – х – 2 ≥ 0.
РЕШЕНИЕ:
Представим такое неравенство в виде
х2 ≥ х + 2.
В одной и той же системе координат построим графики функций
у1 = х2 (парабола) и
у2 = х + 2 (прямая линия).
Найдём абсциссы точек пересечения этих графиков. Приравняем правые части функций и получим уравнение:
х2 = х + 2
или
х2 – х – 2 = 0.
Корни этого квадратного уравнения
х1 = –1 и х2 = 2.
Поэтому такие графики пересекаются в двух точках А и В,
абсциссы которых, соответственно, равны
х1 = –1 и х2 = 2.
Неравенству
х2 ≥ х + 2
или
у1 ≥ у2
удовлетворяют те значения х, при которых значения первой функции больше или равны значениям второй функции, то есть при которых график первой функции расположен выше или на уровне второй функции. Из рисунка видно, что такими значениями являются все числа из промежутков
Этот способ оказывается более полезным при решении сложных неравенств (кубических неравенств, неравенств с модулем и так далее).
ПРИМЕР:
Решите неравенство графическим способом:
–х2 + 2х – 1 ≥ 0.
РЕШЕНИЕ:
Запишем неравенство в виде
–(х – 1)2 ≥ 0
и построим эскиз графика функции
у = –(х – 1)2.
Ветви этой параболы направлены вниз. Уравнение
–(х – 1)2 = 0
имеет один корень х = 1.
Поэтому парабола касается оси Ох в точке (1; 0). Для решения неравенства
–(х – 1)2 ≥ 0
надо определить, при каких значениях х функции у неотрицательны.
–х2 + 2х – 1 ≥ 0
имеет единственное решение х = 1.
ПРИМЕР:
Решите неравенство графическим способом:
2х2 + 5х + 2 ˃ 0.
РЕШЕНИЕ:
Уравнение
2х2 + 5х + 2 = 0
имеет два корня:
х1 = –2, х2 = –1/2.
Парабола, служащая графиком функции
у = 2х2 + 5х + 2,
2х2 + 5х + 2 ˃ 0
выполняется при тех значениях х,
при которых точки параболы лежат выше оси
х.
Это будет при
х < х1 или при х ˃ х2,
то есть при х < –2 или при
х ˃ –1/2.
Значит решения неравенства таковы:
х < –2, х ˃
–1/2.
ОТВЕТ:
х < –2, х ˃
–1/2
ПРИМЕР:
Решите неравенство графическим способом:
3х2 – 7х – 10 ≤ 0.
РЕШЕНИЕ:
Уравнение
3х2 – 7х – 10 = 0
имеет два корня:
х1 = –1, х2 = 10/3.
Парабола, служащая графиком функции
у = 3х2 – 7х – 10,
3х2 – 7х – 10 ≤ 0
выполняется при тех значениях х,
при которых точки параболы лежат на оси х или ниже её. Это
будет при х из промежутка
[х1; х2]
Значит множество решений неравенства есть отрезок
[–1; 10/3].
ОТВЕТ: [–1; 10/3]
ПРИМЕР:
Решите неравенство графическим способом:
–х2 + 4х – 4 ˃ 0.
РЕШЕНИЕ:
Уравнение
–х2 + 4х – 4 = 0
имеет один корень:
х = 2.
Парабола, служащая графиком функции
у = –х2 + 4х – 4,
–х2 + 4х – 4 ˃ 0
выполняется при тех значениях х,
при которых точки параболы лежат выше оси
х. Таких
точек нет. Значит, неравенство не имеет решений.
ОТВЕТ: решений
нет
ПРИМЕР:
Решите неравенство графическим способом:
–3х2 + х – 5 < 0.
РЕШЕНИЕ:
Уравнение
–3х2 + х – 5 = 0
не имеет действительных корней.
Парабола, служащая графиком функции
у = –3х2 + х – 5,
–3х2 + х – 5 < 0
выполняется при тех значениях х,
при которых точки параболы лежат ниже оси
х. Так
как вся парабола лежит ниже оси х, то неравенство
выполняется при любых значениях х.
ОТВЕТ: –∞ < х < +∞
Графическое решение нелинейных
неравенств.
ПРИМЕР:
Решите неравенство графическим
способом:
√͞͞͞͞͞x
< 6 – х.
РЕШЕНИЕ:
Будуємо
графіки функцій
у
= 6 – х
більші
від значень функції
у = √͞͞͞͞͞x,
- Урок 1. Числовые неравенства
- Урок 2. Свойства числовых неравенств
- Урок 3. Сложение и умножение числовых неравенств
- Урок 4. Числовые промежутки
- Урок 5. Линейные неравенства
- Урок 6. Системы линейных неравенств
- Урок 7. Нелинейные неравенства
- Урок 8. Системы нелинейных неравенств
- Урок 9. Дробно-рациональные неравенства
- Урок 11. Неравенства с модулем
- Урок 12. Иррациональные неравенства
- Урок 13. Неравенства с двумя переменными
- Урок 14. Системы неравенств с двумя переменными
- Урок 15. Приближённые вычисления
- Урок 16. Абсолютная и относительная погрешность




















Комментариев нет:
Отправить комментарий