Степенем позитивного числа з раціональним показником
де m – ціле число, а n – натуральне (n > 1), називають корінь n-го степеня з числа am.ПРИКЛАД:Якщо а > 0 і х – довільне дробове число, подане у виглядіде m – целое, а n – натуральне, то:Якщо а = 0 і х – дробове позитивне число, то:ax
= 0.
ПРИКЛАД:
Те саме дробове число можна представити у вигляді дробу з цілим
чисельником і натуральним знаменником різними способами.
ПРИКЛАД:
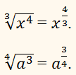
Значення степеня з дробовим показником залежить від
вибору способу запису числа x
як дробу; представляючи дробове число х як ставлення цілого числа до натурального
різними способами, завжди отримуватимемо той самий результат.
ПРИКЛАД:
ПРИКЛАД:ПРИКЛАД:ПРИКЛАД:ПРИКЛАД:Якщо основи степенів позитивні, то властивості степеня з цілим показником залишаються справедливими і для степенів з будь-яким дробовим показником.
Дії над степенями з
будь-якими раціональними показниками виконують за тими самими правилами, що й
дії над степенями з натуральними показниками.
ПРИКЛАД:
Наведемо
радикали до одного показника. Для цього потрібно знайти найменше загальне
кратне чисел 8 та 12, тобто
НОК(8, 12) = 24.
Скоротити дріб:Даний дріб визначений при х >
0. Розкладемо на множники чисельник і знаменник
дробу і скоротимо його:Виразтотожно
дорівнює початковому на безлічі позитивних значень х, тобто на області
визначення вихідного дробу.
ПРИКЛАД:
Чому дорівнює значення
виразу:РОЗВ'ЯЗАННЯ:ПРИКЛАД:
Спростить:
РОЗВ'ЯЗАННЯ:
ВІДПОВІДЬ: Завдання до уроку 21
Спростить:
РОЗВ'ЯЗАННЯ:
ВІДПОВІДЬ: Завдання до уроку 21
Інші уроки:
- Урок 1. Дійсні числа
- Урок 2. Арифметичний квадратний корінь
- Урок 3. Квадратний корінь з добутку і дробу
- Урок 4. Квадратний корінь з степеня
- Урок 5. Винесення множників за знак кореня
- Урок 6. Внесення множників під знак кореня
- Урок 7. Знищення ірраціональності в знаменнику дробу
- Урок 8. Дії над радикалами
- Урок 9. Зведення у степінь арифметичних квадратних коренів
- Урок 10. Корінь m-го степеня
- Урок 11. Корінь m-го степеня з добутку
- Урок 12. Корінь m-го степеня з дробу
- Урок 13. Корінь m-го степеня із степені
- Урок 14. Винесення множників за знак кореня m-го степеня
- Урок 15. Внесення множників під знак кореня m-го степеня
- Урок 16. Дії над радикалами m-го степеня
- Урок 17. Піднесення до степеня кореня m-го степеня
- Урок 18. Добування кореня із кореня m-го степеня
- Урок 19. Знищення ірраціональності в чисельнику або знаменнику дробу
- Урок 20. Основна властивість радикала
- Урок 22. Перетворення виразів що містять степені з негативними дробовими показниками
























Комментариев нет:
Отправить комментарий