Перш ніж приступити до рішення прикладів і завдань, обов'язково ознайомтеся з теоретичною частиною уроку
Перетворення алгебраїчних виразів
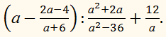
1. Спростіть вираз:3. Спростіть вираз:
4. Спростіть вираз:
а) a – 4;
б)
a(a – 4);
в) a + 2;
г) a.
в) a + 2;
г) a.
5. Спростіть
вираз:
6. Спростіть
вираз:
7. Спростіть вираз:
8. Спростіть вираз:
9. Спростіть вираз: 10. Спростіть вираз: 11. Спростіть вираз: а) –2/3 a;
7. Спростіть вираз:
8. Спростіть вираз:
9. Спростіть вираз: 10. Спростіть вираз: 11. Спростіть вираз: а) –2/3 a;
б)
2/3;
в) a;
г) 2/3 a.
г) 2/3 a.






















Комментариев нет:
Отправить комментарий