Подобие радикалов.
Два или несколько радикалов называются подобными, если они одинаковой степени и имеют одинаковые подкоренные выражения.
ПРИМЕР:
Иногда данные радикалы оказываются подобными только после некоторых преобразований.
ПРИМЕР:
Подобны ли радикалы ?
Сложение и вычитание.
Чтобы сложить (или вычесть) радикалы, их соединяют знаками плюс (или минус) и приводят подобные члены, если они окажутся.
ПРИМЕР:
ПРИМЕР:Умножение.
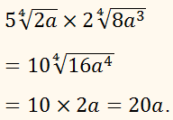
Чтобы перемножить несколько радикалов одинаковой степени, надо перемножить подкоренные выражения и из произведения извлечь корень той же степени.
Если перемножаются радикалы с различными показателями, то их надо предварительно привести к одному показателю
Если перед радикалами имеются коэффициенты, то их перемножают.
Для перемножения
корней одной и той же степени достаточно перемножить подкоренные выражения и из
полученного результата извлечь корень той же степени.ПРИМЕР:
Чтобы перемножить несколько радикалов одинаковой степени, надо перемножить подкоренные выражения и из произведения извлечь корень той же степени.
Если перемножаются радикалы с различными показателями, то их надо предварительно привести к одному показателю
Если перед радикалами имеются коэффициенты, то их перемножают.
ПРИМЕР:
Прежде
всего, нужно привести радикалы к одному показателю. Мы можем показатель корня и
показатель степени подкоренного выражения умножить на одно и то же натуральное
число. Поэтому:Далее имеем:А теперь в полученном результате разделим показатели корня и степени
подкоренного выражения на 3.Итак:ПРИМЕР:
ПРИМЕР:
Запишем
выражение 49 + 20√͞͞͞͞͞6 как квадрат двучлена:Деление.
Чтобы разделить радикалы с одинаковыми показателями,
надо разделить их подкоренные выражения и из частного извлечь корень той же
степени.
Чтобы разделить радикалы с различными показателями, их надо привести предварительно е одинаковым показателям.
Если есть коэффициенты, то их делят.
Чтобы разделить радикалы с различными показателями, их надо привести предварительно е одинаковым показателям.
Если есть коэффициенты, то их делят.
ПРИМЕР:
ПРИМЕР:
Выполнить деление с помощью формул сокращённого умножения.
ПРИМЕР:
РЕШЕНИЕ:
Упростим выражение, используя свойства степеней, правила действий с корнями и новые обозначения:
ОТВЕТ: –1
Задания к уроку 16
Выполнить деление с помощью формул сокращённого умножения.
ПРИМЕР:
РЕШЕНИЕ:
При решении задач на упрощение иррациональных
алгебраических выражений часто применяют способ замены младших степеней
переменных какими-либо новыми переменными. При этом должно получиться
рациональное алгебраическое выражение относительно новых переменных. Упростив полученное
выражение, следует вернуться к выражению с прежними переменными.
ОбозначимУпростим выражение, используя свойства степеней, правила действий с корнями и новые обозначения:
ОТВЕТ: –1
Задания к уроку 16
Другие уроки:
- Урок 1. Действительные числа
- Урок 2. Арифметический квадратный корень
- Урок 3. Квалратный корень из произведения и дроби
- Урок 4. Квадратный корень из степени
- Урок 5. Вынесение множителя из-под знака корня
- Урок 6. Внесение множителя под знак корня
- Урок 7. Избавление от иррациональности в знаменателе дроби
- Урок 8. Действия над радикалами
- Урок 9. Возведение в степень арифметических квадратніх корней
- Урок 10. Корень m-й степени
- Урок 11. Корень m-й степени из произведения
- Урок 12. Корень m-й степени из дроби
- Урок 13. Корень m-й степени из степени
- Урок 14. Вынесение множителя из-под знака корня m-й степени
- Урок 15. Внесение множителуй под знак корня m-й степени
- Урок 17. Возведение в степень корня m-й степени
- Урок 18. Извлечение корня из корня m-й степени
- Урок 19. Избавление от иррациональности в числителе или знпменателе дроби
- Урок 20. Основное свойство радикала
- Урок 21. Преобразование выражений содержащих степени с положительными дробными показателями
- Урок 22. Преобразование выражений содержащих степени с отрицательными дробными показателями
















Комментариев нет:
Отправить комментарий