Если показатель корня и показатель степени подкоренного
выражения умножить или разделить на одно и то же натуральное число, то
значение корня не изменится.
Если а ≥ 0, а n,k, m – натуральные числа, то:
ПРИМЕР:
Из этого свойства получаем следующие:
– радикалы разных степеней можно привести к одинаковым показателям;
Выполняют это так: находят общее кратное (лучше наименьшее) показателей всех радикалов и умножают показатель каждого из них на соответствующий дополнительный множитель, возвышая вместе с тем каждое подкоренное выражение в надлежащую степень.
ПРИМЕР:
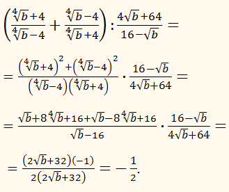
Наименьшее общее кратное показателей радикалов 6; дополнительные множители будут: для первого радикала 3; для второго 2. Тогда:
ПРИМЕР:
РЕШЕНИЕ:
Наименьшее общее кратное показателей радикалов 4n; дополнительные множители соответственно будут n, 2 и 4. Тогда
– если подкоренное выражение есть степень, показатель которой имеет общий множитель с показателем радикала, то на этот множитель можно разделить оба показателя;
Эта теорема требует дополнительного условия:
должен существовать, так как без этого теорема может быть неверной.
ПРИМЕР:
Разделим показатель корня и показатель степени
подкоренного выражения на одно и то же натуральное число. В рассматриваемом
примере разделим указанные показатели на
3, получим:– если подкоренное выражение есть произведение
нескольких степеней, показатели которых имеют один и тот же множитель с
показателем радикала, то на этот множитель можно разделить все показатели;
ПРИМЕР:
Сократить показатели корня и показатель степени подкоренного выражения при заданных условиях:
Тогда получим:
Приведение радикалов к простейшему виду.
Для того чтобы привести радикал к простейшему, или нормальному виду, надо выполнить последовательно такие операции:
– упростить подкоренное выражение (если это возможно);
– сократить показатели корня и подкоренного выражения
(если они имеют общий множитель);
– вынести из-под радикала рациональные множители;
– освободить подкоренное выражение от дроби.
Другие уроки:
- Урок 1. Действительные числа
- Урок 2. Арифметический квадратный корень
- Урок 3. Квалратный корень из произведения и дроби
- Урок 4. Квадратный корень из степени
- Урок 5. Вынесение множителя из-под знака корня
- Урок 6. Внесение множителя под знак корня
- Урок 7. Избавление от иррациональности в знаменателе дроби
- Урок 8. Действия над радикалами
- Урок 9. Возведение в степень арифметических квадратніх корней
- Урок 10. Корень m-й степени
- Урок 11. Корень m-й степени из произведения
- Урок 12. Корень m-й степени из дроби
- Урок 13. Корень m-й степени из степени
- Урок 14. Вынесение множителя из-под знака корня m-й степени
- Урок 15. Внесение множителуй под знак корня m-й степени
- Урок 16. Действия над радикалами m-й степени
- Урок 17. Возведение в степень корня m-й степени
- Урок 18. Извлечение корня из корня m-й степени
- Урок 19. Избавление от иррациональности в числителе или знпменателе дроби
- Урок 21. Преобразование выражений содержащих степени с положительными дробными показателями
- Урок 22. Преобразование выражений содержащих степени с отрицательными дробными показателями






















Комментариев нет:
Отправить комментарий